Haloo ...
Kali ini saya akan berbagi contoh soal tentang gravitasi lengkap dengan pembahasannya yang dapat anda gunakan sebagai media pembelajaran dan evaluasi yang nantinya dapat digunakan untuk tes uji.
Sebelum membahas contoh soal yang akan saya berikan, ada baiknya jika kita memulainya dengan sedikit pengertian tentang materi yang sedang kita bahas saat ini.
Apa Pengertian Gaya Gravitasi ?
Gravitasi adalah gaya tarik-menarik yang terjadi antara semua partikel yang mempunyai massa di alam semesta. Gravitasi matahari mengakibatkan benda-benda langit berada pada orbit masing-masing dalam mengitari matahari. (source : id.wikipedia.org)
Apa Pengertian Medan Gravitasi/Percepatan Gravitasi ?
Adalah ruang disekitar suatu benda bermassa dimana benda bermassa lainnya dalam ruang ini akan mengalami gaya gravitasi.
Hanya itu saja materi tentang pengertian gravitasi dan untuk lebih jelasnya anda bisa mencari ke berbagai sumber yang ada di berbagai media seperti buku, internet, ataupun kepada pengajar yang lebih ahli dalam bidang ini.
Dan untuk itu kita lanjut ke inti dari artikel ini , yaitu membahas contoh soal tentang gravitasi ..
Contoh Soal tentang Gravitasi Lengkap dengan Pembahasan
1. Satelit A dan B mengorbit bumi pada kedudukan masing-masing R dan 3 R di atas permukaan bumi (R = jari-jari bumi). Perbandingan kuat medan gravitasi bumi yang dialami satelit A dan B adalah...
A. 9 : 6
B. 6 : 3
C. 4 : 3
D. 4 : 1
E. 3 : 4
Pembahasan
Untuk membandingkan medan gravitasi gunakan rumus
Jawaban: D
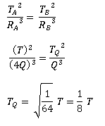
2. Planet A dan B masing-masing berjarak rata-rata sebesar P dan Q terhadap matahari. Planet A mengitari matahari dengan periode T. Jika P = 4 Q, maka B mengitari matahari dengan periode...
A. 1/12 T
B. 1/10 T
C. 1/8 T
D. 1/6 T
E. 1/4 T
Pembahasan
Jawaban: C
3. Besarnya gaya gravitasi antara dua benda yang berinteraksi adalah...
A. Sebanding dengan massa masing-masing benda.
B. Sebanding dengan jarak kedua benda
C. Sebanding dengan kuadrat jarak kedua benda.
D. Berbanding terbalik dengan jarak kedua benda.
E. Berbanding terbalik dengan massa masing-masing benda.
Pembahasan
Gaya gravitasi sebanding dengan massa masing-masing benda dan berbanding terbalik dengan kuadrat jaraknya.
Jawaban: A
4. Bila berat benda dipermukaan bumi W Newton, maka berat benda itu diluar bumi yang jauhnya 3 R dari pusat bumi (R = jari-jari bumi) adalah...
A. W Newton
B. 1/3 W Newton
C. 1/4 W Newton
D. 1/6 W Newton
E. 1/9 W Newton
Pembahasan
Berat benda sama dengan gaya gravitasi.
F2 = 1/9 W
Jawaban: E
5. Planet X massanya 3 kali massa bumi dan jari-jarinya 1 ½ jari-jari bumi. Jika benda dipermukaan bumi beratnya w, maka berat benda dipermukaan planet X adalah...
A. w/3
B. 2w/3
C. 3w/4
D. 4w/3
E. 4 w
Pembahasan
Jawaban: D
6. Sebuah roket yang beratnya W diluncurkan vertikal di atas bumi. Jika D adalah diameter bumi, maka tepat saat roket berada pada ketinggian 0,5 D dari muka bumi, berat roket adalah...
A. 4 W
B. 2 W
C. W
D. 0,5 W
E. 0,25 W
Pembahasan
Pembahasan nomor 6 mirip dengan nomor 5.
F2 = 1/4 w = 0,25 w
Jawaban: E
7. Satelit A dan B mengorbit bumi pada kedudukan masing-masing R dan 3 R di atas permukaan bumi (R = jari-jari bumi). Perbandingan kuat medan gravitasi bumi yang dialami satelit A dan B adalah...
A. 9 : 6
B. 6 : 3
C. 4 : 3
D. 4 : 1
E. 3 : 4
Pembahasan
Ea / Eb = 16 / 4 = 4 : 1
Jawaban: D
8. Titik A, B, dan C terletak dalam medan gravitasi bumi seperti pada gambar!
Diketahui: M = massa bumi, R = jari-jari bumi. Kuat medan gravitasi dititik A adalah g. Perbandingan kuat medan gravitasi di titik A dengan di titik C adalah...
A. 3 : 8
B. 4 : 1
C. 8 : 1
D. 8 : 3
E. 9 : 1
Pembahasan
Ea / Eb = 9 / 1 = 9 : 1
Jawaban: D
9. Percepatan gravitasi rata-rata dipermukaan bumi sama dengan a. Untuk tempat di ketinggian R (R = jari-jari bumi) dari permukaan bumi memiliki percepatan gravitasi sebesar...
A. 0,125 a
B. 0,250 a
C. 0,500 a
D. 1,000 a
E. 4,000 a
Pembahasan
Persamaan percepatan gravitasi sama denga medan gravitasi.
a / gb = 1 / 4
gb = 4a
Jawaban: E
10. Dua planet A dan B mengorbit. Perbandingan antara periode revolusi planet A dan B mengitari matahari adalah 8 : 1. Apabila jarak planet B ke matahari 1,5 SA (SA = satuan astronomi) maka jarak planet A ke matahari adalah...
A. 3,0 SA
B. 4,5 SA
C. 5,0 SA
D. 5,6 SA
E. 6,0 SA
Pembahasan
Gunakan hukum Keppler III
TA2 / rA3 = TB2 / rB3
rA3 = 64 . (1,5)3
rA = 4 . (1,5) = 6 SA
Jawaban: E
11. Jarak bumi matahari 1 SA sedangkan jarak mars matahari 1,6 SA. Bila periode revolusi bumi adalah T, maka periode revolusi mars mendekati...
A. 4 T
B. 3 T
C. 2 T
D. 1,6 T
E. 1,2 T
Pembahasan
TB2 = (1,6)3 TA2
TB = 2 TA
Jawaban: C
12. Data fisis planet A, planet B, dan planet bumi terhadap matahari terlihat seperti tabel!
Perbandingan periode planet A dan B adalah...
A. √1/27
B. √1/3
C. 1/3
D. 1/9
E. 1/27
Pembahasan
Periode Planet A
TA2 /Tb2 = Ra3 /Rb3
TA2 /12 = (0,5 R)3 /R3
TA2 = 1/8 tahun
Periode Planet B
TB2 /Tb2 = Ra3 /Rb3
TB2 /12 = (1,5 R)3 /R3
TB2 = 27/8 tahun
Perbandingan periode
TA2 /TB2 = (1/8) / (27/8) = 1/27
TA / TB = √1/27
Jawaban: A
Demikianlah Contoh Soal tentang Gravitasi Lengkap dengan Pembahasan. Semoga dapat membantu anda dalam media pembelajaran dan tahap evaluasi.
Terima kasih sudah berkunjung. ..













0 comments:
Post a Comment